Intro: El único problema "verdaderamente serio" de la filosofía (contemporánea)
Decía Albert Camus que "Sólo hay un problema verdaderamente serio en la filosofía: El suicidio" (Camus, A. 1942). No resulta una afirmación tan obvia, pues no siempre había sido así:
Durante milenios, la filosofía, a la postre madre de las ciencias, había tenido como cimas a coronar asuntos como la naturaleza y el modo de obtener saber (epistemología), la esencia del Ser (ontología), o los principios fundamentales de la realidad no directamente aprehendibles por la vivencia empírica (metafísica), entre otros; y si evidentemente la felicidad humana no había escapado al omnicomprensivo escrutinio de estos amantes del saber (y de ahí las doctrinas estoicas, cínicas, hedonistas, etc.), pocos se habrían atrevido a afirmar que esta fuera el mayor, menos aun el "único" de los problemas "verdaderamente serios" de la disciplina.

Foto: Albert Camus. ¿Hay algún 'intelectual' que no fume, desde que se descubrió el tabaco?
Mas quizás no le falte razón, y tal vez hoy sí lo sea:
Escribía Carl Gustav Jung, uno de los padres de la ciencia psiquiátrica, en 1957:
"Cada vez resulta más obvio que no es la hambruna, ni los terremotos, ni los microbios, ni el cáncer, sino el propio hombre quien supone el mayor peligro para el hombre, por la simple razón de que no existen protecciones adecuadas contra las epidemias psíquicas, infinitamente más devastadoras que la peor de las catástrofes naturales" - Jung, C. G. (1957); p. 651
Desde que llegó la sociedad industrial, eso es lo cierto, se ha incrementado exponencialmente el interés de nuestros intelectuales por la infelicidad.

1940-2016: Artículos encontrados bajo las palabras clave "salud mental" y "enfermedad mental"; como porcentaje sobre el total de artículos académicos publicados. Fuente: Chekroud, A.M. y Loho, H. (2017)
Quizás, porque sencillamente, ha aumentado exponencialmente la infelicidad:

1916-2004: Muertes por causas relacionadas con salud mental, en porcentaje numérico sobre el total de muertes, y como años de vida potencialmente perdidos en relación a la esperanza de vida media (Australia). Fuente: Whiteford, H.(2010).
Me disculpará el respetable lector/a por no argumentarlo mucho más, pero entiendo que una sociedad con un 14% de muertes por causa de suicidio, autolesión y similares no puede llamarse a sí misma 'feliz'.
Como ya se adelantaba en el anterior artículo (Juan 8:32, lo puedes leer aquí): Estas cifras no han hecho sino empeorar en las últimas décadas, y especialmente desde la aparición de las RRSS, como señalan investigaciones como la realizada por el Center for Disease Control and Prevention de los EEUU (2022):

1989-2018: Evolución de los suicidios entre chicas adolescentes de entre 15-19 y 10-14 años, en muertes por cada 1.000.000 de individuos. Fuente: CDCP (2022)
Puede que me repita, y lo lamento si es así, pero considero fundamental dejar claro este punto: El estado de salud mental de nuestra sociedad es el peor de la Historia.
Remisiones completas de pacientes con esquizofrenia en sociedades 'tradicionales' vs. sociedades desarrolladas en relación al acceso a tratamientos antipsicóticos en las mismas. Fuente: González-Pando, D. (2012).

Aún subsisten, y prueban hasta qué punto somos no sólo una excepción histórica sino también geográfica, para mal, sociedades pre-capitalistas en qué trabajos pioneros como el de González-Pando, D. (2012) han demostrado que las tasas de recuperación de pacientes con transtornos psicológicos y psiquiátricos, incluso graves (en el trabajo referenciado, esquizofrenia) son de hasta el doble que en las sociedades occidentales de referencia/control, con una sexta parte del acceso a tratamiento.
No es casual que, como comenta Ziegler, J. (2008) aun si en un contexto muy distinto, la mayoría de las sociedades del resto del globo nos consideren a los/as habitantes de la zona OCDE unos auténticos dementes: Clínicamente, gran parte de nosotros lo somos. Pero, además, nuestra infelicidad de niños ricos les resulta, con cierta razón, ultrajante.
Pero hasta estas corren grave riesgo de desaparecer, y pronto el planeta entero puede estar como nosotros:
En 2023, UNICEF señalaba que más del 60 por ciento de los/as jóvenes surafricanos habían requerido "mental health support" en el último año (UNICEF; 2023); y Petersen, I. et al. (2016) afirmaban que, a fecha de realización del estudio, alrededor del 16% del país sufría transtornos mentales 'comunes' (ansiedad, abuso de sustancias, etc.) de larga duración. Este ya no es un problema sólo 'occidental', o solo de 'países ricos' (OCDE, Norte global... cada uno elija su terminología). Y cada vez lo será menos.
¿Por qué?
"Ya el campo estará verde: Debe ser primavera;
Cruza por mi mirada un tren interminable;
El barrio donde habito no es ninguna pradera:
Desolado paisaje de antenas y de cables"
- Sabina, J. (1980)
1. 200+ años de 'desencanto'
El hombre y la mujer tradicionales nunca habían terminado de dar el paso psicológico 'del mito al logos'. Por ajeno que todo ello resulte a la mentalidad moderna, para el habitante del mundo pre-capitalista de, por ejemplo, el año 1700, en el mundo material convivían las relaciones causales de tipo racional/empiricista a->b con la profunda creencia de que, al lado de estas, se estaban constantemente produciendo profundos fenómenos espirituales de los que la vida diaria material era un mero reflejo o traslación.

Fotograma del filme 'Green Knight' (2021).
La realidad natural era entendida como un organismo “vivo, lleno de correspondencias escondidas (...) completamente impregnado de espíritus (...) reflejando símbolos preñados de significados reales” (Racionero, L.; 1985; p. 122), y el individuo parte sagrada, imprescindible aun si minúscula, de un complejo ciclo eterno en constante renovación y con el que se halla permanentemente en conexión y "participación mística" (v. en tal sentido: Mircea, E.; 1957 o Lévy-Bruhl, L.; 1922).
Esto es especialmente claro en la concepción metafísica de fuentes orientales como la filosofía védica, en qué el Universo entero es Uno con el Creador, del que cada una de las cosas vivientes y no vivientes no son sino meras manifestaciones fragmentarias etc. (para más información, consultar fuentes primarias, p.e. y en mi caso: Bhagavad-gītā), pero está igualmente patente en todas las concepciones socio-políticas del Antiguo Régimen europeo, que entienden la sociedad como 'cuerpo social' (esto es: como un todo orgánico, no mecánico), y de las que se puede citar por ejemplo la que recoge de Salisbury, J (1159), pues todas siguen líneas similares (y metáforas parecidas vemos ya en el carro con los dos caballos de Platón, por mencionar alguna), y esta idea de conexión microcosmos-macrocosmos por la que "como arriba es abajo" está tan extendida en el mundo pre-moderno que podemos veao también en textos alquímicos de amplia difusión en el mundo musulmán como el cristiano como puede ser 'La tabla esmeralda' (Anónimo, s/f).
Si se hace toda esta 'previa' es por algo:
Justamente, es en este tipo de visiones de raíz organicista y espiritualista, que sacralizan por definición la realidad realmente existente, donde entiende González-Pando, D. (2012) se halla la posible ventaja de las sociedades tradicionales respecto a las nuestras en el enfoque de la enfermedad mental. En palabras del propio investigador de la Universidad de Oviedo:
(...) interpretaciones culturales para dar cuenta de la esquizofrenia del tipo "espíritus en la cabeza" resultan ser una narrativa que permite explicar conductas extrañas como oír voces en términos de prácticas sociales y culturales que resultan tener una función integradora de la persona y reguladora de sus relaciones con la comunidad (y antepasados). Interesa que, al ser la esquizofrenia allí un asunto de posesión de espíritus, conlleva que no es algo que haya que tratar o remediar, sino que resulta ser objeto de cuidado mediante agasajos por parte de la comunidad, sean danzas o banquetes. Y como quiera que los espíritus van y vienen libremente, se da a la persona un "billete de salud" de regreso a la normalidad. Sea como fuere, ahí queda el paciente, dentro del grupo, incluso en el centro mismo, y no excluido y marginado. Otras narrativas culturalmente dadas tienen que ver con "envíos divinos", respecto a los cuales la ventaja es que, como son decisiones de Dios (Alá, en su caso), tampoco deben ser combatidos sino simplemente aceptados, lo que contribuiría a la autoaceptación de los síntomas. Como efecto de todo ello, resulta la amplia aceptación y tolerancia o aquiescencia del grupo y de la familia respecto del sujeto enfermo. No hay un señalamiento y lucha contra los síntomas, sino una asunción o abrazamiento de ellos en el contexto de la persona que los presenta en el curso de la vida. Esta pauta no ocurre solo a nivel de la familia, sino también del entorno, por lo que ni el paciente ni la familia perciben ni reciben presión, crítica o señalamiento por ciertas conductas que hubiera que corregir entre la humillación y la vergüenza" - González-Pando, D. (2012)
Salta a la vista del que firma hasta qué punto esto puede sorprender al lector occidental actual; acostumbrado a la idea de que toda práctica religiosa, o marco cultural marcadamente religioso, son forzosamente generadores de exclusión y alteridad hacia el 'distinto': No se pretende en el presente negar de modo categórico que las sociedades tradicionales generen 'alterizaciones' y exclusiones, pues sería absurdo. No obstante, y aunque excede en mucho al objeto (y espacio) del presente, basta señalar que muchas de las que se le asumen como consustanciales a las mismas no parecen estar demasiado sustentadas, o al menos no en el grado que se cree, con los datos en la mano, en evidencia empírica ni histórica (al menos no en los países católicos, que son los que ha podido estudiar el abajofirmante de primera mano: los protestantes, también observados de primera mano, parecen arena de otro costal), y en sentido contrario presentan marcadas tendencias integradoras en aspectos muy descuidados por las sociedades liberales que las sucedieron. Se me excusará deje el desarrollo de tal tema para futuras ocasiones.
En cualquier caso, ya en 1919 el (nada sospechoso de nostálgico del Antiguo Régimen) sociólogo alemán Max Weber reflexionaba en su 'La ciencia como vocación', cómo el progresivo dominio de la técnica y la razón sobre el mundo natural y sobre el propio hombre, que habían ido urbanizando e industrializando el mundo, desterrando al olvido las formas más ineficientes de producción pero también de pensamiento, habían llevado al 'desencantamiento' del universo y la existencia:
Ese cosmos que apenas un par de siglos antes se presentaba como un organismo vivo, en qué cada árbol y cada roca tenían alma, simpatías y enemigos, y en qué cada relación material se vivía como un rito sacro (el pago de impuestos al señor en realidad la entrega al representante del Altísimo de los medios para su subsistencia, su defensa del campesino no una contraprestación sino función mandada por la Providencia: v. p.e. en tal sentido Llull, R.; 1281) quedaba ahora al desnudo como una carcasa en descomposición: Ni los señores eran nobles, ni las hambrunas inevitables, ni el gobierno enviado por Dios, ni la injusticia y la pobreza derivados de que el Rey o Cristo las desconocieran (que era como el campesino del s. XVIII se las explicaba: v. Hobsbawm, E. 1962).
El mundo había pasado de ser un 'cuento de hadas' bastante injusto, a 'nos mean en la cara y dicen que llueve'. Sin, por cierto, que mejoraran las condiciones de vida de las clases populares respecto a las que habían tenido antes de la Revolución Francesa hasta, por lo menos, bien entrados los años 30... Del fuckin' siglo XX (!!) (Hobsbawm, E.; 1995).
Hasta Freud, padre fundador de toda la ciencia psicológica (por superado que se le pueda entender, con razón, en algunos aspectos), que no podemos olvidar que vivía y escribía en tal contexto, y pese a su pensamiento critiquísimo con las ideas religiosas, admitía que la religión, al menos, había logrado hasta la fecha "evitar a muchos seres la caída en la neurosis individual" (Freud, S.; 1930), cosa que no estaba demasiado claro estuvieran logrando la psicología o el paradigma racionalista. Volveremos sobre esto más tarde; pero por ahora dejémoslo aquí, macerando.
2. El zoo humano
No es este el único modo en que nuestras vidas han cambiado de forma radical en los últimos 200 años. Mire el lector al siguiente gráfico; ¿qué observa?

Evolución de la población humana en el planeta, 4000AC-2000AD (no a escala). Fuente: Elaboración propia a partir de datos de Racionero, L. (1985).
La población humana en el planeta ha aumentado más en los últimos 400 años, en términos relativos como absolutos, que en todo el resto de la Historia de la humanidad. Hemos 'ganado' más de 5.000.000.000 de habitantes sólo en el último siglo.
No es sólo el número de gente, sino dónde y cómo vive:
Según datos de la ONU (2023), en 2022 solo 17 de los 193 estados representados tenían menos de un 30% de población urbana. Y de entre estos 17 (la mayoría micro-países, estados fallidos, recientemente independizados, o una mezcla de los tres), tan solo 7 presentan cifras por debajo del 18%.
No nos podemos hacer a la idea de cómo de raro es esto para nuestra especie en términos históricos:

Arriba: Purser, W. (s. XIX): "Vista de Atenas con la Acrópolis (...)", óleo sobre lienzo. Sí, yo tampoco logro ver la ciudad.
Abajo: Atenas hoy. Fuente: Alexander, E. (2019)

En "Rusia, Escandinavia o los Balcanes", "del 90 al 97 por 100" de la población vivía en el campo. ¿Tal vez era distinto en el mediterráneo, de milenaria tradición urbana? Miremos a Italia: En Lombardía, un 85%; en Venecia, el 80%; en Calabria y Lucania por encima del 90%. En definitiva: “fuera de algunas florecientes zonas industriales o comerciales, difícilmente encontraríamos un gran país europeo en el que por lo menos cuatro de cada cinco de sus habitantes" no vivieran en el ámbito rural.
Incluso a lo que llamaban "ciudad" no se parece en nada a lo que tenemos hoy. Pongamos ejemplos:
Brest, en el año 1700, suma unos 16.000 habitantes. Birmingham tiene 15.000; Liverpool, 20.000. Berlín, en el 1600, 8.000 incluyendo las tropas que la guarnecen (todo ello: Racionero, L.; 1985). Podría seguir, pero no me parece necesario. Lo importante es que, como dice agudamente el autor catalán, siempre habíamos vivido, desde Sumer, en ciudades de escala humana directamente dependientes de su 'hinterland' agrícola en qué, como añade Hobsbawm, "un hombre podía trasladarse en cinco minutos desde la catedral, rodeada de edificios públicos y casas de personajes, al campo" que las rodeaba por todas partes (Hobsbawm, E.; 1962).
Evidentemente, cualquier parecido con la actualidad es mera coincidencia.
De ahí que en 1965, el Doctor por la Universidad de Oxford Desmond Morris nos dijera:
"Cuando las presiones de la vida moderna se vuelven opresivas, el fatigado habitantede la ciudad suele hablar de su rebosante mundo como de una jungla de asfalto (...) [pero] en sus hábitats naturales, los animales salvajes no se mutilan a sí mismos, no se masturban, atacan a su prole, desarrollan úlceras de estómago, se hacen fetichistas, padecen obesidad (...). Todas estas cosas ocurren, no hace falta decirlo, entre los habitantes de las ciudades (...) También otros animales observan estos tipos de comportamiento en determinadas circunstancias, a saber, cuando se hallan confinados en condiciones antinaturales de cautividad. El animal encerrado en la jaula de un parque zoológico manifiesta todas estas anormalidades que tan familiares nos son por nuestros compañeros humanos. Evidentemente, entonces, la ciudad no es una jungla de asfalto, es un zoo humano" - Morris, D. (1965)

Foto:Kowloon, aún a día de hoy tras la demolición de su 'ciudad amurallada' la ciudad con mayor densidad poblacional del planeta. Fuente: Fiori, F. (2023).
El impacto de la pérdida de escala humana de nuestras sociedades es múltiple, y de tal calado que no en vano el autor le dedicó más de 200 páginas solamente en el volumen citado.
Ello no obstante, sí se pueden señalar algunos de los modos más evidentes en que este 'zoo humano' impacta a la psique de sus habitantes igual que lo hace, siempre según el autor, en los mamíferos superiores internados en zoológicos; sobre todo si entendemos hasta qué punto resulta distinto a las sociedades 'tribales' (100-200 individuos máximo por cada 35km2 aprox., en qué todos se conocen y no hay diferenciación estricta entre esfera personal y 'laboral') en qué el ser humano había vivido antaño toda su existencia:
- Aislamiento y atomización sociales
- Pérdida del sentimiento de cohesión e identidad del grupo
- Aumento de la criminalidad y comportamientos 'antisociales'
- Cambios en la conducta sexual: No disminuye la libido pero esta se exterioriza de modos no relacionados con la reproducción.
- Aparición de comportamientos autolesivos e incluso suicidas
- Abuso de sustancias psicoactivas
- Aumento desproporcionado de la prostitución (en primates se han observado prácticas cercanas a la misma en situaciones de cautividad)
- Variaciones en los ciclos de sueño y hábitos alimentarios
Provocaría incluso risa, de no ser más apropiado el llanto, hasta qué punto una mera observación de los patrones desarrollados en cautividad por nuestros parientes animales más cercanos, realizada hará ya pronto 60 años, arroja una visión tan certera con tan escasas herramientas metodológicas: Que alguien me diga que el cuadro aquí descrito no representa fidedignamente a nuestra sociedad (al margen de que algunos de los 'items' utilizados como medidores nos puedan parecer más o menos 'carcas' o moralistas, esto no le quitaría razón alguna); y esto, a su vez, nos debería llevar a reflexionar sobre hasta qué punto nos empeñamos en olvidar verdades obvias ya mil veces estudiadas.
Y por qué.
Qui prodest? ¿Quién sale ganando? Porque tú y yo no hemos sido, lector/a.
3. Mens sana in corpore sano
Hay otra cosa obvia en el cambio paulatino del modo de vida cazador-recolector al agrícola y de este al urbano: La progresiva pérdida de contacto con nuestra propia fisicalidad.
No requiere demasiada prueba este tema (ya lo hacía notar el mismo Morris, D.; 1965 del que acabamos de tratar): Es evidente que el trabajo diario ya no sólo de nuestros lejanos ancestros cazadores-recolectores, sino incluso de nuestros tatarabuelos/as en las granjas y los prados era mucho más exigente físicamente que los nuestros en bares y oficinas.
Baste en tal sentido simplemente mostrar la evolución al alza constante de las cifras de obesidad en los países OCDE:

Evolución del porcentaje de población con obesidad diagnosticada en diferentes países de la zona OCDE, 1970-2019 (datos) y 2020-2030 (predicciones). Fuente: Lee, M. (2019)
¿Cuál es la relación de esto con nuestro estado de salud mental? Toda:
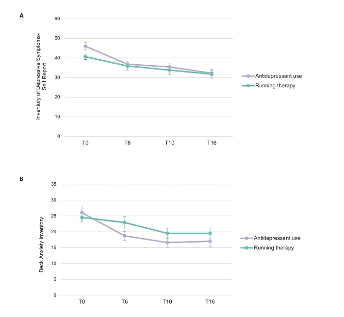
Sin ánimo de ser exhaustivo, y por señalar tan solo una de las múltiples fuentes científicas existentes sobre el tema con idéntico criterio, Verhoeven J.E. et. al (2023) hacían notar, tras un estudio empírico realizado con una relativamente importante muestra de pacientes (n=141), el impacto prácticamente idéntico del ejercicio físico y el uso de antidepresivos en la remisión de las problemáticas de salud mental más comunes: ansiedad y depresión, si se perpetúa durante suficiente tiempo (16 semanas); con la ventaja añadida de una mejora en otros medidores de salud, en este caso físicos.

Síntomas de depresión y ansiedad en los pacientes estudiados durante las 16 semanas del estudio. Fuente: Verhoeven, J.E. et al. (2023)
No sólo esto:
Es tan conocida la influencia de la privación de sueño, la mala alimentación u otros factores físicos sobre la salud mental, que no se considera necesario explorarla en el presente (si alguien quiere info al respecto, nos puede preguntar por mail en ave@veritasvincit.es); y no cabe engañarse, creo, a estas alturas del artículoni de la vida respecto a hasta qué punto estas se han degradado respecto a las de nuestros antepasados: La contaminación lumínica y auditiva, el estrés, la exposición a la luz de las pantallas, etc., han hecho mucho por ir transformándonos de hombres y mujeres en lechuzas. De la alimentación, mejor ni hablamos.

"Proporción de las causas de cáncer, segun principales factores de riesgo de acuerdo al nivel de desarrollo de los países" Fuente: Itriago, G.L. et al (2013)
¿Qué tenemos que estar comiendo para que la dieta sea mayor causa de cáncer que el tabaco?
Y hay más:
Recientes investigaciones, que no obstante darían la razón a tradiciones milenarias, parecen (en el mismo sentido y de forma lógica) indicar que nuestros procesos mentales, emocionales, etc. no solamente residen en, o mejor dicho, no dependen sólo del cerebro. Por ejemplo, Carabotti, M. et al (2015) señalan la influencia de nuestros procesos y salud intestinales en la aparición de transtornos ansioso-depresivos (no, no es coña), en un descubrimiento que fue republicado por universidades como Oxford por su relevancia.
Como ya suponían las concepciones organicistas, el Ser (humano en este caso) supone, más que una máquina con componentes especializados (cerebro piensa, estómago digiere, intestino procesa los desechos...), un todo o sistema global con profundas y complejísimas relaciones internas entre cada uno de sus componentes, que van mucho más allá de su supuesta "función". Mantener a uno sano requiere mantener a todos sanos: No podemos separar la 'salud mental' de la física. Los hábitos adecuados, y esto lo reconoce toda la ciencia psicológica y psiquiátrica, son tanto o más importantes que el tratamiento, y vivimos en una sociedad que los dificulta gravemente, si no imposibilita.
De ahí que todas las medidas planteadas desde las instituciones sean meros 'parches' (más especialistas, "más concienciación" etc.): Atacar el problema de veras requeriría hablar en serio de muchas cosas... Sobre las que nadie está dispuesto/a a abrir la boca (por los motivos que ya se argumentaban en 'Juan 8:32').
Dada la especial complejidad del tema tratado, se ha decidido estructurar el presente artículo en varias partes.

